1/12/2022
Since Fischer's group completed the first dipeptide molecule synthesis in 1901, peptide synthesis has a history of more than 100 years. With the increasing demand for peptides in the fields of drug development and material chemistry, the research on peptide synthesis strategies has achieved many leaps and bounds.
Peptide Development:
Since Fischer's group completed the first dipeptide molecule synthesis in 1901, peptide synthesis has a history of more than 100 years. With the increasing demand for peptides in the fields of drug development and material chemistry, the research on peptide synthesis strategies has achieved many leaps and bounds.
Racemization in peptide bond synthesis has always been a major problem and one of the hotspots in peptide chemistry. The formation of peptide bonds requires the activation of carboxylicacids, and the activated carboxylic acid intermediates, as well as the subsequent condensation process, may lead to racemization.
Racemization mechanism:
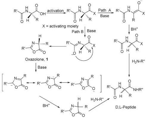
In-depth investigation revealed that there are two mechanisms for this racemization. The first mechanism is direct racemization—the hydrogen proton is directly extracted from the α carbon (Path A); the second mechanism is through the process of the oxazole ring—the α hydrogen proton of the oxazole ring is captured (Path B).The racemization mechanism is shown in the figure below:

Figure 1: Racemization mechanism (A) direct racemization; (B) racemization via oxazole ring
Factors affecting racemization:
There are three main factors affecting the racemization of peptide bonds:
(1) The factor of alkali;
(2) additive factors;
(3) Factors of condensing agent.
One: Alkaline factor
Carpin o et al. discovered inthe 1990s thatthe basicity and steric hindrance oforganic bases have a great influence on racemization. The most widely used organic bases in peptide condensation reactionsare: N,N-diisopropyl Diethylethylamine (DIEA), N-methylmorpholine (NMM) and 2,4,6-collidine(TMP, Collidine). Among them, N,N-diisopropylethylamine is more basic (pKa10.1), N-methylmorpholine (pKa 7.38) and 2,4,6-collidine (pKa 7.43) are weaker , due to the greater steric hindrance of 2,4,6-collidine (TMP, Collidine), in many peptide bond formations, the racemization produced by 2,4,6-collidine (TMP) Produces less. In addition, the commonly used triethylamine has a faster racemization rate than N,N-diisopropylethylamine and N-methylmorpholine due to its smaller steric hindrance and stronger alkalinity.
The figure below shows the racemization rate of amino acid N-carboxylic acid anhydride (NCA) derivatives:


The results of N-carboxylic acid anhydride derivatives of amino acids racemized with different organic bases and then condensed with benzylamine are shown in the figure below:


This result shows that 2,4,6-collidine (TMP, Collidine) produced the least racemic product.
In another report, Carpino et al. found similar results in the coupling of polypeptide fragments. 2,4,6-collidine (TMP, Collidine) produced the least racemic products. In this reaction, a Condensation of the dipeptide Z-Phe-Val-OH with alanine methyl ester hydrochloride (H-Ala-OMe.HCl) always results in the least racemization of TMP regardless of the condensing agent used.
The racemization of Z-Phe-Val-Ala-OMe peptide fragment synthesis (2+1) is shown in the figure below:


Second, the additive factors
Adding additives is a common method in peptide synthesis, which can increase yield and reduce side reactions of racemization—especially when using carbodiimide-type condensing agents, such as DIC, adding additives is particularly important. At present, the commonly used additives are mainly some benzotriazole compounds (HOXt), mainly including: HOBt, HOAt and 6-Cl-HOBt. These benzotriazole compounds are highly acidic (pKa HOBt: 4.60, pKa HOAt: 3.28, pKa 6-Cl-HOBt: 3.35), and they can form reactive intermediates with carboxylic acids. We know that carbodiimide condensing agents can also form active intermediates with carboxylic acids - O-acylisourea compounds. However, compared with O-acylisouride compounds, the active intermediate formed by benzotriazole and carboxylic acid is more stable, which can avoid therearrangement of O-acylisouride compounds into N-acylisouride compounds and thus lose the reactivity. Among the above three additives, HOBt has the least activity and usually the most racemic side reactions. HOAt has the best activity and the least side reactions of racemization. The participation effect of the ortho-position of the 7-position nitrogen atom on the pyridine ring of HOAt is the key factor for its high activity.
In recent years, some new oxime-containing additives were developed by Albericio's group and successfully applied to the synthesis of peptide bonds. The two most important additives are: ethyl 2-oxime cyanoacetate (OxymaPure) and 1,3-dimethylvilinate (Oxyma-B). When used in combination with carbodiimide condensing agent DIC, the condensation yield of ethyl 2-oxime cyanoacetate and 1,3-dimethylvilinic acid is comparable to that of HOAt, but the side reaction of racemization is less. In the more challenging [2+1] condensation reaction of peptide fragments, ethyl 2-oxime cyanoacetate and 1,3-dimethylvilinic acid also exhibited superior racemization-inhibiting effects than HOBt. In further experiments to validate racemization, Albericio et al. used solid-phase synthesis to prepare several tripeptide compounds. These tripeptides contain some amino acids that are particularly prone to racemization—serine (Ser), cysteine (Cys) and histidine (His). It was found that 1,3-dimethylvilic acid (Oxyma-B) had the best effect on inhibiting racemization, even better than HOAt and ethyl 2-oxime cyanoacetate (OxymaPure).
The synthesis (solid phase synthesis) of Z-Phg-Pro-NH2 is shown in the figure below:

The condensation (solution phase synthesis) of dipeptide Z-Phe-Val-OH and H-Pro-NH2 is shown in the figure below:

The solid-phase synthesis of the tripeptide H-Gly-AA-Phe-NH2 (AA = Ser, Cys, Cys (Acm) or His) is shown in the figure below:

Three, the factor of condensation agent
Condensation reagents have various structures and types, mainly including the following categories: carbodiimides, ammonium salts, phosphorus salts, pyridinium salts, quinolines, phosphates, etc. HOXt, OxymaPure, Oxyma-B can be combined with some ammonium salts or phosphorus salts to become independent condensing agents. However, most of the above condensing agents will produce a large degree of racemization. Therefore, in order to inhibit the occurrence of racemization, racemization inhibitors such as HOBt, HOAt, and Oxyma need to be added to the reaction to avoid racemization through the formed activated ester. Rotation.
Recently, the team of Gregory L. Beutner from Bristol-Myers Squibb Company reported a very efficient acid amide condensation system. Acyl imidazolium salts have long been considered as very efficient acyl transfer reagents and have been used in the synthesis of amides. The activity of imidazolium salts is also higher than that of acyl imidazoles. Acyl imidazolium salts generally require acyl imidazole and strong alkylating reagents such as Meerwein salt, methyl iodide, etc., Rapoport et al. reported that CDI analog nitrogen methyl imidazolium salt is used for challenging acid amine condensation, however, the class Separation of reagents from highly reactive alkylating reagents is a challenge in itself. The bright spot reported by Gregory et al. is that there is no need to isolate highly active acyl imidazolium salts, but an effective strategy to effectively combine TCFH and NMI to generate it in situ and use it in challenging acid-amide condensation reactions has achieved very good results. The effect, and the product can get a good chirality. The reaction mechanism is as follows:

The reaction system can maintain 99.9% of the chirality of peptide synthesis, and the effect of inhibiting racemization and the yield are very good, as shown in the figure below:

In 2020, ACS catalysis by Wataru Muramatsu et al. from Japan reported the silane-mediated acid-amine condensation reaction, which also solved the problem of racemization well. The reaction conditions of this reaction system are very mild, and the reaction is shown in the figure below:

The PG protecting group in the figure above can be acetyl, benzoyl and other groups. It is generally difficult for other condensing agents of this type of amino acid to control the racemization well.
references:
1. C. Sheehan, GP Hess, J. Am. Chem. Soc. 1955, 77, 1067. doi:10.1021/ja01609a099.
2. L. Stevens, ME Munk, J. Am. Chem. Soc. 1958, 80, 4069. doi:10.1021/ja01548a060.
3. El-Faham, F. Albericio, Chem. Rev. 2011, 111, 6557. doi:10.1021/cr100048w.
4. Hu, S. Xu, Z. Zhao, Y. Yang, Z. Peng, Yang, M. Wang, J. Zhao, J. Am. Chem. Soc. 2016, 138, 13135. doi:10.1021/jacs. 6b07230
5. Z. Wang, X. Wang, P. Wang, J. Zhao, J. Am. Chem. Soc. 2021, 143, 10374. doi:10.1021/jacs.1c04614.
6. Org. Lett., 2018, DOI: 10.1021/acs.orglett.8b01591.
7. ACS Catal. 2020, 10, 9594−9603
Please fill out the form below and our sales team will be happy to assist you with a quote on peptide synthesis reagents.