4/28/2022
Heterocyclic compounds play an important role in biological processes, and the main part of organic compounds isolated from nature is composed of nitrogen heterocycles. A large number of data reports have shown that heterocyclic compounds as analgesic, anti-inflammatory, and anti-migraine drugs can effectively regulate nitric oxide stress and target free nitrogen and oxygen free radicals, which is a promising strategy for future pain treatment.
Heterocyclic compounds play an important role in biological processes, and the main part of organic compounds isolated from nature is composed of nitrogen heterocycles. A large number of data reports have shown that heterocyclic compounds as analgesic, anti-inflammatory and anti-migraine drugs can effectively regulate nitric oxide stress and target free nitrogen and oxygen free radicals, which is a promising strategy for future pain treatment.
Among the heterocyclic structures, phthalimides have special biological significance. It has been reported as herbicide, insecticide, antipsychotic and anti-inflammatory drug, and it is often used as starting material and intermediate in the synthesis of multiple biologically active compounds in the synthesis. In addition, the use of phthalimides as protecting groups for primary amines has been widely reported, especially for the synthesis of α-amino acids.
The compounds we mainly introduce here are N-haloalkylphthalimide compounds, also known as substituted phthalimide compounds. Its main structure is shown in Figure 1.

Figure 1 Phthalimide compounds
The application of phthalimide compounds is mainly to prepare primary amines and pharmaceutical synthesis intermediates. Specific examples are as follows:
01 Synthesis of primary amines using phthalimide as a protecting group
N-bromomethylphthalimide, also known as N-bromomethylphthalimide. Since the molecular structure contains active bromine atoms, it can undergo nucleophilic substitution reactions with many groups, and then various substituted methylamine compounds can be obtained by removing the PHT protecting group (see Figure 2), so N-bromo Alkyl phthalimide is an important organic synthesis intermediate, widely used in the organic synthesis of pharmaceuticals, pesticides, dyes and other industries.

Figure 2 Synthesis of p-primary amines protected by N-bromomethylphthalimide
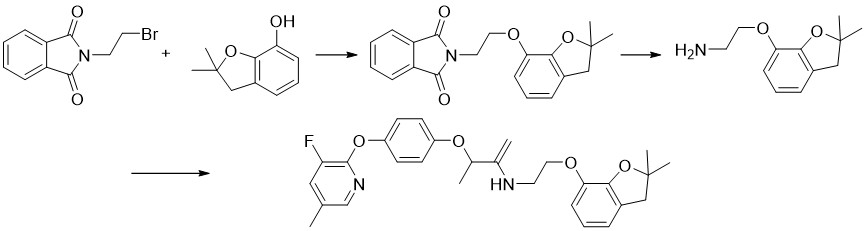
N-[(dihydrobenzofuran-7-oxyl)alkyl]-2-aryloxyamide derivatives synthesized from N-bromoethylphthalimide (see Figure 3) have a wide range of Biologically active, it is used as a herbicide in the field of pesticides. The main advantage is that it is safe for rice crops and can be used to control grass weeds in rice fields.

Figure 3 Synthesis of N-[(dihydrobenzofuran-7-oxyl)alkyl]-2-aryloxyamide
02 Synthesis of compounds with DPPH free radical scavenging antioxidant activity
Substituted phthalimides are mainly used as chiral building blocks in organic synthesis, and can be used as key intermediates for the preparation of biologically active compounds such as antibacterial, analgesic, antifungal, bactericide, and plant growth regulator. A spacer layer with a carbon atom distance is introduced to connect the nitrogen end of the phthalimide to the ester group (see Figure 4 below).

Figure 4 Synthesis of DPPH free radical scavenging antioxidant active substances
03 Synthesis of triazole derivatives
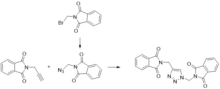
Using N-azidomethylphthalimide (synthesized from N-bromomethylphthalimide) and N-propargylphthalimide as raw materials, after 1,3 dipolar Two bis(phthalimide)-1,2,3-triazole derivatives were synthesized under thermal or copper-catalyzed conditions by cycloaddition method (see Figure 5). This type of cyclic imide has a wide range of biological activities and has the ability to cross biomembranes in vivo. Therefore, cyclic imides have neutral and hydrophilic properties.

Figure 5 Synthesis of bis(phthalimide)-1,2,3-triazole derivatives
The above-mentioned N-substituted isoindole-1,3-dione compounds have anti-cancer properties and act as tumor necrosis factor α-(TNF-α) inhibitors. Molecules containing two phthalimide units increased anti-inflammatory and anti-TNF-α activity. One can also tune these properties using different spacer shapes and lengths.
04 Synthesis of horseradish derivatives
Horseradish refers to a compound containing -N=C=S active group extracted from horseradish and other cruciferous plants. A large number of research works have confirmed the high anticancer activity and low genotoxicity of horseradish. However, the content of thioether horseradish is low, and it is not easy to extract, so the synthesis of thioether horseradish with novel structure has attracted widespread attention of scientists. N-bromoalkylphthalimide compounds can synthesize thioether horseradish (see Figure 6), thioether horseradish has good anticancer activity, anti-cervical cancer, anti-lung cancer, anti-cancer breast cancer activity.

Figure 6 Synthesis of thioether horseradish derivatives
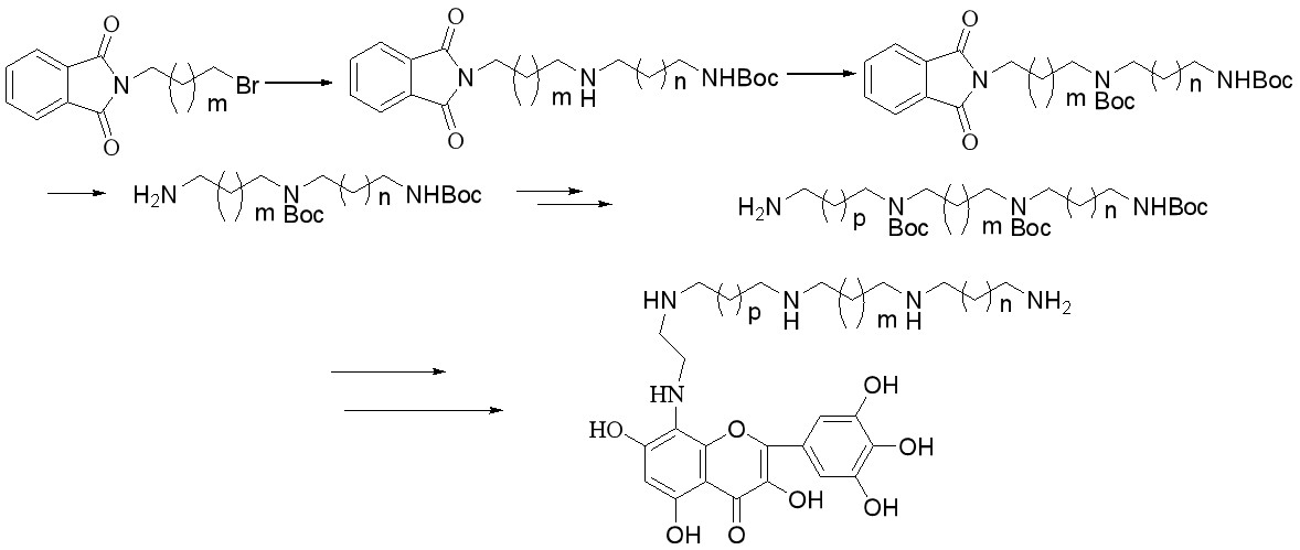
05 Synthesis of dihydromyricetin
In recent years, botanical medicines have been favored for their natural and low toxicity. Dihydromyricetin, which belongs to flavonoids, has a variety of biological activities. Liu Deyu and others found that serum containing dihydromyricetin drugs can inhibit the proliferation of B16 melanoma cells by blocking DNA synthesis and replication of cells. Zhou Ningning and others reported the in vitro inhibition rate of dihydromyricetin on liver cancer Be1-7402, leukemia cells HL-60 and K562 cells. OhyamaM found that dihydromyricetin acetyl compounds have selective cytotoxicity to KB oral cancer cell lines and MCF-7 breast cancer cells. Dihydromyricetin derivatives (see Figure 7 for their synthesis) are excellent lead substances for research on new anticancer drugs.

Figure 7. Synthesis of 8-polyaminodihydromyricetin derivatives
This article mainly introduces the application of halogen substituted alkyl phthalimide compounds, mainly including the synthesis of various substituted alkyl primary amine compounds and the use of halogen substituted alkyl phthalimide compounds Applications of synthesizing some biologically active derivatives. Therefore, N-haloalkylphthalimide is an important intermediate in organic synthesis, and is widely used in the organic synthesis of pharmaceuticals, pesticides, dyes and other industries. Haofan Bio can provide you with high-quality N-bromomethylphthalimide (5332-26-3), N-chloromethylphthalimide (17564-64-6), N -(2-Bromoethyl)biphenylimide (574-98-1) and N-(3-bromopropyl)phthalimide (5460-29-7), etc., welcome to call Inquire!
Please fill out the form below and our sales team will be happy to assist you with a quote on peptide synthesis reagents.