Breaking the Barriers: Efficient Synthesis of Stereoscopically Hindered Peptides via RMMR

10/24/2025

In recent years, peptide drugs have attracted much attention due to their unique advantages in various disease areas. However, their poor stability and low cell membrane permeability have severely restricted their further development. Studies have shown that introducing sterically hindered amino acids (such as N-methylated amino acids and α,α-disubstituted amino acids) into peptide chains can effectively improve peptide stability and membrane permeability. However, traditional solid-phase synthesis methods suffer from slow reaction rates, low efficiency, and high consumption of condensation reagents when introducing these amino acids due to the heterogeneous nature of the reaction.

In response to the aforementioned problems, Yao Zhujun's team at Nanjing University developed an immobilized molecular reactor (RMMRs) based on the acyl transfer mechanism of ribosomes.

RMMR Introduction:

RMMR resin is based on Rink amide resin, with dendritic dispersed activation sites constructed through Fmoc-Lys derivatives, and finally fixed on AM resin (Figure 1). Its swelling capacity is comparable to that of commercial resins, and it has good stability with no degradation within 6 months.

Composition of RMMR
Figure 1. Composition of RMMR
This reactor connects four carboxyl activation sites (see Figure 2) and one peptide synthesis site to the resin. In the presence of DIC and N-Fmoc amino acids, multiple active ester intermediates are formed, promoting rapid intramolecular or intermolecular O→N acyl transfer between the N-terminal amino group and adjacent activation intermediates (only one oxyacyl group is coupled), thereby improving the synthesis efficiency of sterically hindered peptides. Finally, treatment with piperidine simultaneously removes the Fmoc protecting group and regenerates unreacted active esters. Its mechanism of action is shown in Figure 3.

Universal active activators and their derivatives
Figure 2. Universal active activators and their derivatives

Mechanism of action of RMMRs

Figure 3 Mechanism of action of RMMRs

RMMR Applications:

1. Conventional Peptide Synthesis
In the conventional peptide synthesis, the tetrapeptide QWRK-NH2 and the octapeptide angiotensin II amide were synthesized using RMMA resin with Oxyma-C and HOBt-C as active sites and commercial Rink Amide resin, respectively. The results are compared in the table below.

Table 1. Comparison of results of tetrapeptides and octapeptides synthesized with different resins
Comparison of results of tetrapeptides and octapeptides synthesized with different resins

Note: The values ​​in the table represent the purity of the crude product.

Experimental results show that peptides synthesized with RMMR resin are comparable in quality to those synthesized with commercial Rink Amide resin. Furthermore, the purity of the crude product obtained using Oxyma-C RMMR resin in manual synthesis mode is 97%, while the purity of the automated synthesis mode is 94%, showing similar results between the two methods.

2. Steric Hindered Peptide Synthesis
(1) Synthesis of N-Methylated Peptides
In the synthesis of peptides containing N-methylated amino acids, RMMR resin significantly improves the condensation efficiency, with product purity reaching up to 98%, while the purity of products obtained using Rink Amide resin is mostly below 20%. Some examples are shown in Figure 4 below.

Synthesis of N-methylated peptides using different resins

Figure 4. Synthesis of N-methylated peptides using different resins

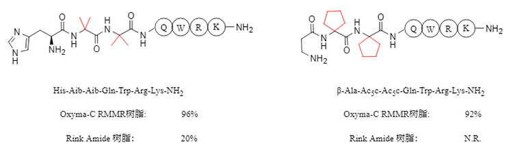
(2) Synthesis of α,α-disubstituted peptides:
RMMR resin also exhibits excellent synthetic ability when synthesizing peptides containing α,α-disubstituted amino acids (such as Aib, α-aminoisobutyric acid). For sequences containing two consecutive α,α-disubstituted amino acids (as shown in Figure 5 below), the purity can reach over 90%. In contrast, commercially available Rink Amide resin is difficult to synthesize the corresponding peptides effectively.

Synthesis of continuous α,α-disubstituted peptides using different resins
Figure 5. Synthesis of continuous α,α-disubstituted peptides using different resins

(3) Synthesis of complex molecular alamitecin F analogues

Synthesis of alamethicin F analogues

Figure 6 Synthesis of alamethicin F analogues

To further verify the applicability of RMMR resins in complex structures, the team synthesized an alameticin F analog containing eight Aib residues using Oxyma-C RMMR resin. Experimental results showed that RMMR resins are equally efficient for complex sterically hindered peptides: the purity of the crude product obtained could reach up to 88%, and the separation yield also reached 73%.

These experiments demonstrate that RMMR resins, through their immobilized acyl transfer mechanism, overcome the limitations of traditional solid-phase synthesis in preparing sterically hindered peptides, significantly improving condensation efficiency.

Overall conclusion:

The RMMR series of resins provides an efficient and reliable solution for synthesizing sterically hindered peptides with pharmaceutical potential by mimicking the acyl transfer mechanism of ribosomes, particularly excelling in the introduction of N-methylated and α,α-disubstituted amino acids. Furthermore, the synthesis of challenging amino acids using this series of resins requires only commercially available Fmoc amino acids and DIC reagents, and is compatible with both manual and automated synthesis modes, demonstrating broad application prospects.

Company Introduction:

After 22 years of unremitting efforts and accumulation, Haofan Biotech has continued to cultivate the global peptide synthesis reagent field and has now developed into a leading enterprise with extensive customized product coverage and significant advantages in large-scale production, which can meet the specific needs of various customers. We sincerely invite customers who are interested in this product to contact us to learn more about the product details and explore cooperation opportunities.

References:
[1] Wei, S.; Zhang, X.; Yao, Z., et al. Immobilized acyl-transfer molecular reactors enable the solid-phase synthesis of sterically hindered peptides[J]. Nat. Chem. 2025, 17, 1596−1606.

Related Products

We share our popular related products that you may be interested in here. If you have any questions, please get in touch with us; our specialists will answer you within 24 hours.

His(Trt)-OH

CAS RN

35146-32-8

Appearance

White to off white powder

Purity

≥98.0%

Learn More...

5-Bromoindole

CAS RN

10075-50-0

Appearance

Purity

≥98%

Learn More...

5-Phenyl-1,2-oxazole

CAS RN

1006-67-3

Appearance

Colorless to yellowish transparent liquid

Purity

GC>99%

Learn More...

L-2-Fluorophenylalanine

CAS RN

19883-78-4

Appearance

White solid powder

Purity

98%HPLC

Learn More...

CONTACT US

Please fill out the form below and our sales team will be happy to assist you with a quote on peptide synthesis reagents.

Thank you! Your message has been sent.
Unable to send your message. Please fix errors then try again.
Contact

Search

Popular Products: TBTU, HBTU, HOBT, HOPO

Leave a message

Thank you for visiting us. Please leave a message and we will reply by email.

Contact