3/31/2022
Boc group protection is widely used in organic synthesis, and it is also an amino-protecting group widely used in peptide synthesis. Especially in solid-phase synthesis, the Boc group is often used for amino protection. The removal of the Boc group has the following advantages: it is easy to remove by acidolysis, but it has certain stability; what is produced during acidolysis is tert-butyl cation and then decomposes into isobutene, which generally does not bring side reactions; hydrazinolysis, and many nucleophiles; stable to catalytic hydrogenolysis, but much more sensitive to acids than Cbz. Therefore, the removal of the Boc group is mainly based on acid hydrolysis, but acid-sensitive substrates can also be removed under neutral or alkaline conditions.
Boc group protection is widely used in organic synthesis, and it is also an amino protecting group widely used in peptide synthesis. Especially in solid phase synthesis, Boc group is often used for amino protection. The removal of the Boc group has the following advantages: it is easy to remove by acidolysis, but it has certain stability; what is produced during acidolysis is tert-butyl cation and then decomposes into isobutene, which generally does not bring side reactions; , hydrazinolysis, and many nucleophiles; stable to catalytic hydrogenolysis, but much more sensitive to acids than Cbz. Therefore, the removal of the Boc group is mainly based on acid hydrolysis, but acid-sensitive substrates can also be removed under neutral or alkaline conditions.
However, there are limitations when there are two or more Boc groups in the substrate that need to be selectively removed. Let's discuss the related issues about the selective removal of one Boc by bis-Boc amine.
Method for selective removal of a Boc by two Boc amines
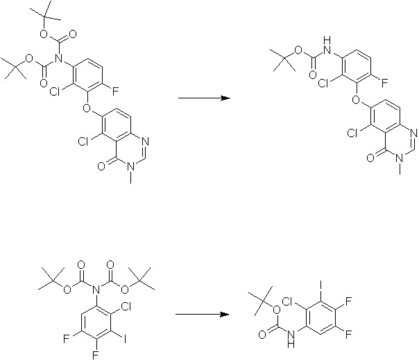
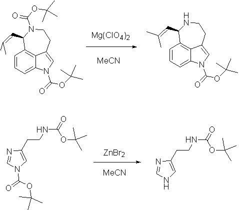
1. TMSOtf and magnesium perchlorate, zinc bromide and other Lewis acids
TMSOtf, magnesium perchlorate and zinc bromide and other Lewis acids are relatively mild and can be used as selective removal agents for multi-Boc protection. The reaction temperature and time are controlled according to different substrates. The example is shown in the figure below:

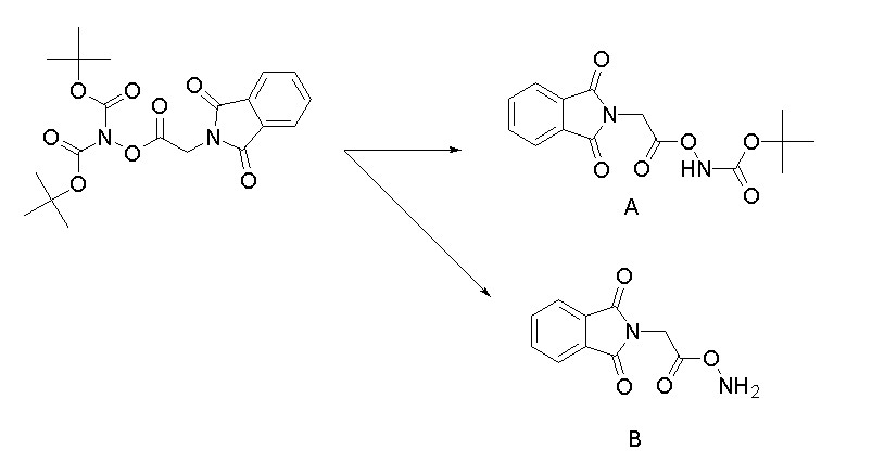
The choice of Lewis acid is also very important when bis-Boc amine selectively removes a Boc, examples are as follows:

The target product of the substrate is compound A, and a mixture of compound A and B can be obtained when zinc bromide is used for selective removal, while high-purity compound A can be obtained with good selectivity when TMSOtf and magnesium perchlorate are used.
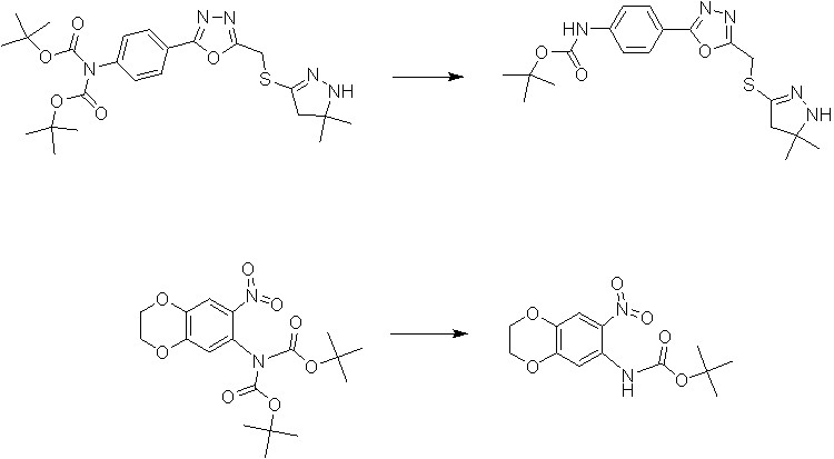
And some substrates use magnesium perchlorate to get a mixture of removing one and two. At this time, TMSOtf is a good choice, but TMSOtf is more expensive. Usually, trimethylbromosilane and potassium iodide are used in combination to achieve TMSOtf Effect. Examples of reactions are as follows:

2. Alkaline condition
For acid-sensitive substrates, it is sometimes possible to choose alkaline conditions for removal. For example, sodium tert-butoxide or sodium methoxide can remove the Boc protecting group on the N of the active hydrogen. Selective removal of one depends on the strength of the alkalinity. , for example, the following substrates can be selectively removed with sodium methoxide/methanol system:

However, there is a risk that both of the substrates will be removed under strong alkaline conditions, and potassium carbonate has better selectivity. The reaction examples are as follows:

3. Acidicconditions
Acidic conditions are universal conditions for removing Boc groups, but the risk of removing two groups is high when selectively removing Boc, and low-concentration trifluoroacetic acid dichloromethane solutions are used for selective removal at low temperatures. In addition, monitor the reaction process in time to avoid removing the two impurities. Examples of reactions are as follows:

summary
Although the selective removal method for bis-Boc amine has certain limitations, it is also possible to select a suitable removal method from the above methods, and to explore suitable reaction conditions and reaction times through a large number of parallel experiments to obtain the target product .
references:
1. Org. Proess Res. Dev. 2004, 8, 330-340
2. Journal of the American Chemical Society, 1996, vol. 118, # 9, p. 2301 - 2302
3. J.Org.Chem.2006,71,9045-9050
4. OPRD, 2005, 9, 466-471
5. J.Org.Chem.2005, 70-5869-5879
6. Synth. Commum., 1989, 19, 3139
7. Tetrahedron Letters 45(2004) 905-906
8. Journal of Medicinal Chemistry, 2013, vol. 56, # 15, p. 6273 - 6277
Please fill out the form below and our sales team will be happy to assist you with a quote on peptide synthesis reagents.