DSC: a multifunctional activator in peptide chemistry and drug synthesis

8/30/2024

N, N'-disuccinimidyl carbonate (DSC) is a multifunctional reagent for the preparation of active esters and a substitute for phosgene in various nucleophilic reactions. DSC is sensitive to moisture and will rapidly hydrolyze to release carbon dioxide and generate NHS in an aqueous environment. In a non-aqueous environment, the solubility of DSC in various organic solvents is one of the key factors affecting its reaction efficiency and residue removal, especially in the complex functionalization synthesis of polysaccharides. Table 1 reflects the solubility of DSC in common organic solvents, providing a reference for the selection of reaction conditions.

Table 1 Solubility of DSC in organic solvents

Solvent Dichloromethane acetone Acetonitrile Tetrahydrofuran Ethyl acetate Isopropyl alcohol DMF DMSO
Solubility (mg/mL) 2 14 34 3 4 2 88 >250

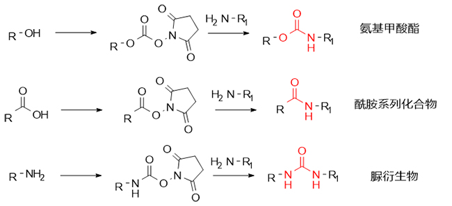
DSC has a wide range of applications in peptide synthesis, drug design, nucleic acid modification and other fields. Its mild reaction conditions and high-efficiency coupling characteristics make it play an important role in the synthesis of urea derivatives and carbamate compounds. At the same time, DSC is also a commonly used coupling reagent for amides and thiophospholipids. By promoting the formation of carbonates, carboxylic acid active esters and corresponding carbamate succinimidyl esters, further reacting with amine molecules, the corresponding carbamate, amide and urea derivatives are efficiently synthesized (as shown in Figure 1).

DSC-mediated synthesis pathway
Figure 1 DSC-mediated synthesis pathway

I. Synthesis of carbamate compounds

Carbamate compounds have attracted much attention due to their wide range of applications and their importance in medicine, pesticides, coatings, and organic synthesis. DSC, as an efficient activator, can not only promote the synthesis of carbamate compounds from alcohols and hindered amino acids, but also play a core role in the key synthesis steps of carbamate series drugs such as the HIV treatment drug darunavir, and realize the splicing of complex molecular fragments in biochemistry.
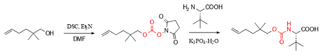
Specifically, in the synthesis of the key intermediate of the anti-hepatitis C drug vanirvir, DSC efficiently synthesized the target carbamate compound by activating alcohol and then reacting with L-tert-leucine, which has a large steric hindrance.

DSC-mediated synthesis pathway
In the synthesis of the HIV drug darunavir molecule, DSC achieved the splicing of two key fragments by forming an activated ester with a hydroxyl group.

DSC-mediated synthesis pathway
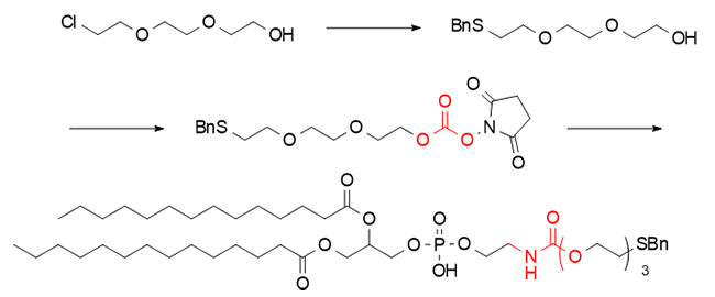
In addition, in the synthesis of thiophospholipids, DSC also demonstrated its excellent coupling performance. By activating with hydroxyl groups and then splicing with the amino group of DMPE, thiophospholipids connected by carbamate bonds were achieved.
DSC-mediated synthesis pathway

2. Synthesis of urea derivatives

Urea functional fragments, as key structures in many drug molecules, play an important role in regulating molecular activity and physicochemical properties. In the synthesis of the radioactive imaging agent Piflufolastat F-18, DSC generated succinimide ester intermediates by reacting with amino groups, and further constructed urea structural fragments, demonstrating its flexibility and efficiency in drug synthesis.
DSC-mediated synthesis pathway

3. Synthesis of amide series compounds

Amide compounds are the most basic structural fragments in the field of peptide synthesis and are also key structures in the field of drug synthesis. As an activation and protection agent, DSC has demonstrated its versatility in chemical synthesis. It can not only form carbonates and succinimide esters, but also form active esters with carboxyl groups, and further form stable amide compounds with amine groups.
DSC-mediated synthesis pathway
In summary, the wide application of DSC in the fields of chemistry, medicine, and biology demonstrates its important position in organic synthesis. Whether it is promoting the synthesis of complex molecules or its application in basic chemical reactions, DSC has demonstrated its excellent reaction performance and is an indispensable tool in the hands of researchers.

Related Products

We share our popular related products that you may be interested in here. If you have any questions, please get in touch with us; our specialists will answer you within 24 hours.

Methyl 5-hydroxyvalerate

CAS RN

14273-92-8

Appearance

Colorless to yellow liquid

Purity

≥97.0%

Learn More...

N,N,N′,N′-Tetramethyl-p-phenylenediamine

CAS RN

100-22-1

Appearance

Purple to brown crystalline powder

Purity

98% GC

Learn More...

HMBA Linker 4-(Hydroxymethyl)benzoic...

CAS RN

3006-96-0

Appearance

White crystalline powder

Purity

99% HPLC

Learn More...

CONTACT US

Please fill out the form below and our sales team will be happy to assist you with a quote on peptide synthesis reagents.

Thank you! Your message has been sent.
Unable to send your message. Please fix errors then try again.
Contact

Search

Popular Products: TBTU, HBTU, HOBT, HOPO

Leave a message

Thank you for visiting us. Please leave a message and we will reply by email.

Contact