7/14/2022
There are many ways to synthesize amides, and the method of first activating carboxylic acids is more common, such as first making acid chlorides, acyl imidazoles, acid anhydrides or activated esters, etc., and then reacting with amino compounds to form amides. As a condensing agent, triphenylphosphine can also activate carboxylic acid. Here are several ways to combine it with triphenylphosphine.
There are many ways to synthesize amides, and the method of first activating carboxylic acids is more common, such as first making acid chlorides, acyl imidazoles, acid anhydrides or activated esters, etc., and then reacting with amino compounds to form amides. As a condensing agent, triphenylphosphine can also activate carboxylic acid. Here are several ways to combine it with triphenylphosphine.
The reaction mechanism is as follows:

First, the reaction between triphenylphosphine and polyhalomethane is activated, and then the oxygen atom of the carboxylic acid attacks the halogenated triphenylphosphine to obtain a phosphinium salt intermediate, and triphenoxyphosphine leaves as a leaving group. The driving force of the reaction is the generation of triphenoxyphos, and its P=O double bond contains strong bond energy, which is beneficial to the reaction.
Examples of reactions are as follows:

Equimolar amounts of carboxylic acid and amine reacted at room temperature for 15 minutes under the action of equimolar amounts of triphenylphosphine, carbon tetrabromide, and triethylamine, and then used petroleum ether/ethyl acetate mixed solution to force out triphenoxy Phosphorus, and then recrystallized to get the pure product.
The lower temperature of this method needs to reach -78°C, and inert gas protection is required.
Examples of reactions are as follows:

Benzoic acid (1.0eq) and hexachloroacetone (0.5eq) were dissolved in dichloromethane, cooled to -78°C under the protection of argon, and triphenylphosphine (1.0eq) dichloromethane solution, aniline (1.0 eq) dichloromethane solution, triethylamine (1.0eq) dichloromethane solution, and return to room temperature for reaction. Treated with petroleum ether/ethyl acetate, the crude product obtained was passed through the column to obtain the pure product, and the yield was 80%.
After being activated by NBS, triphenylphosphine acts on carboxylic acid, and then triphenoxyphosphine leaves to react with amino compound.
The reaction example mechanism is as follows:

Triphenylphosphine (1.02eq) and carboxylic acid (1.0eq) were dissolved in dichloromethane, NBS (1.12eq) was added at 0°C, and the mixture was added dropwise to -25°C amino compound (1.0eq) and pyridine ( 1.28eq) in tetrahydrofuran solution, and then return to room temperature for reaction. Pure product was obtained by short column purification.
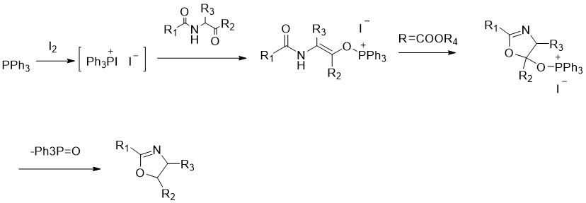
In this method, triphenylphosphine and iodine form an active adduct to jointly activate the carboxyl group, and then the nucleophile amine attacks the carboxyl active intermediate to prepare an amide. In the synthesis of pincer-type bisoxazole compounds, triphenylphosphine-iodine method can be used for one-pot preparation. It is speculated that the reaction may first go through an enolized active intermediate, and then form a ring.
The reaction mechanism is as follows:

The key to this reaction is the efficient coupling of carboxylic acid and amino acid ester, and the availability of triphenylphosphine-iodine is crucial.
Examples of reactions are as follows:

When the carboxylic acid linking group is an aromatic ring or a heterocyclic ring, the yield is higher than that of the aliphatic chain, because the aromatic group can conjugate and stabilize the intermediate, and can reduce the energy of the product, thereby promoting the reaction.
Since its establishment, Suzhou Haofan Biological Co., Ltd. has focused on the R&D and production of products in the field of condensing agents and protective agents formed by characteristic amide bonds. It has a complete range and high quality. Customers are welcome to purchase. The following is a partial product list of Haofan biological condensation agent:

* For more product information, please visit the official website of Highfine Biotechnology www.highfine.com
references:
1. Synth.Commun., 1990, 1105
2. Tetrahedron lett. 1997, 6489
3. Tetrahedron lett. 1997, 5359
4. Study on the amidation reaction of triphenylphosphine with iodine and carboxylic acid under mild activation, Li Yu, 2010
5. Suzuki, AJ Org. Chem., 1999, 64, 147.
6. Jwanro, H.; Marc, S.; Christel, G.; Emmanuelle, S.; Marc, L. Chem. Rev., 2002, 102, 1359.
Please fill out the form below and our sales team will be happy to assist you with a quote on peptide synthesis reagents.